Рис. 6. Распознавание последовательностей скобок произвольной глубины. Схема связей автомата

назад

Рис. 7. Распознавание последовательностей скобок произвольной глубины. Граф переходов автомата Мили

назад

Рис. 8. Распознавание последовательностей скобок произвольной глубины. Граф переходов смешанного автомата

назад

Рис. 9. Распознавание последовательностей скобок произвольной глубины. Граф переходов смешанного автомата со смысловыми обозначениями

назад

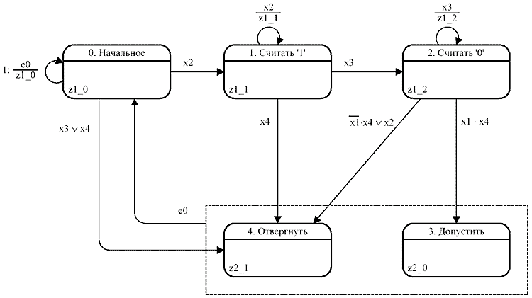
Рис. 10. Распознавание последовательностей {1n0n | nЁ0}. Традиционный подход

назад

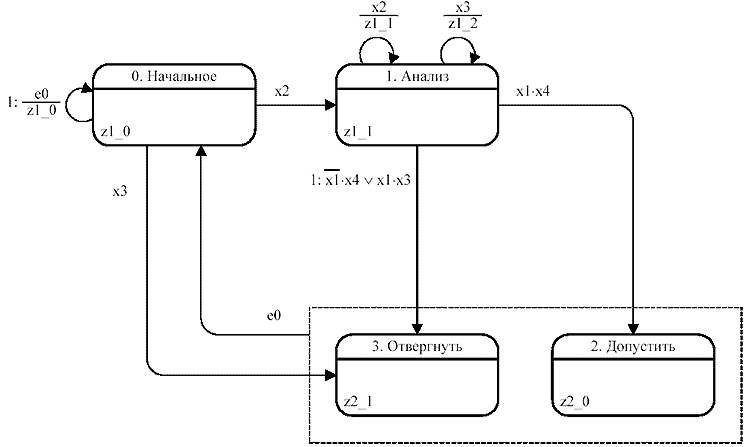
Рис. 11. Распознавание последовательностей {1n0n | ≥0}. Схема связей автомата

назад

Рис. 12. Распознавание последовательностей {1n0n | ≥0}. Граф переходов автомата

назад

Рис. 13. Распознавание последовательностей {1n0n1n | ≥0}. Схема связей автомата

назад

Рис. 14. Распознавание последовательностей {1n0n1n | ≥0}. Граф переходов автомата

назад

Рис. 15. Распознавание четырех языков. Схема связей автомата

назад

Рис. 16. Распознавание четырех языков. Граф переходов автомата

назад